Жиынтық бағалау деген не және бағалар қалай есептеледі?

2020-2021 оқу жылында оқушыларды бағалау қалыптастырушы және жиынтық бағалауды білдіретін критериалды бағалау жүйесі бойынша жүргізіледі:

  • Формативті бағалау – бұл бағалау түрінде, оқушылардың ағымдағы үлгерімі туралы кері байланысты (түсініктемерлер және ұсыныстар) ретінде көрсету мақсатында, оқушылардың үлгерімін жақсарту мақсатында Ата-аналарға және оқушыларға арналған бағалау түрі. Формативті бағалау 10 балдық жүйе форматында өтеді.
  • Жиынтық бағалау - белгілі бір кезең аяқталғаннан кейін баллмен есептелетін (БЖБ) және оқу бағдарламасының бөлімдерді бойынша (ТЖБ) бағаланатын бағалау түрі. 

Назар аударыңыз! Жүйеде қорытынды баға автоматты түрде қалыптасады, бірақ ол ұсынылған баға ретінде шығады. Журналда мұғалім қорытынды бағаны Жүйе ұсынған бағаға сүйене отырып, қолымен қояды. Егер қорытынды баға баллды бағаға ауыстыру шкаласына сәйкес келмесе, онда ол мәселе бойынша сұрақты білім беру ұйымының қызметкерлеріне (сынып жетекшісіне немесе әкімшіге) нақтылау үшін жіберу ұсынылады.

Формативті бағалау               

Формативті бағалау – сыныпта күнделікті жұмыс барысында жүргізілетін бағалау түрі, оқушылар үлгерімінің ағымдағы көрсеткіші болып табылады, оқыту барысында оқушылар мен мұғалім арасындағы жедел өзара байланысты, оқушы мен мұғалім арасындағы кері байланысты қамтамасыз етеді және білім беру процесін жетілдіруге мүмкіндік береді.

Формативті бағалау үлгерімді ағымдағы бақылауды жүргізу қағидалары шеңберінде ҚР БҒМ әзірлеп, №125 Бұйрықтың өзекті нұсқасына енгізілді.

Формативті бағалау кезінде мұғалім білім алушылардың санын және кері байланыс беру жиілігін өздігінен анықтайды.

Қойылған формативті бағаларды қалай көруге болады?

Формативті бағалар келесі қойындыларда қолжетімді:

  • «Күнделік»;
  • «Пәндер бойынша»;
  • «Тоқсандар бойынша».

Ата-ана парақшасы арқылы күнделікке өту үшін:

  • «Балалар» - «Күнделік» қойындысын ашу;
  • «Күнделік» / «Пәндер бойынша» / «Тоқсандар бойынша» қойындысын таңдау.

Оқушы парақшасы арқылы күнделікке өту үшін:

  • «Мектеп» - «Күнделік» қойындысын ашу;
  • «Күнделік» / «Пәндер бойынша» / «Тоқсандар бойынша» қойындысын таңдау.

Формативті бағалау қалай есептеледі?

Мұғалім келесі дифференциацияға сәйкес оқушылардың оқу жетістіктерінің прогресін балл түрінде журналға тіркейді:

  • 1 балл – оқу тапсырмаларын 0% ден, 10% дейін орындады, қателіктер жіберілді, сабақта пассивті, мұғаліммен кері байланыс нәтижелері бойынша қорытынды жасамайды, тапсырмаларды орындау кезінде дербестік танытпайды, өткен материалды білмейді;
  • 2 балл – оқу тапсырмаларын 20% - ға дейін орындады, қателіктер жіберілді, сабақта пассивті, мұғаліммен кері байланыс нәтижелері бойынша әрдайым тиісті қорытынды жасай бермейді, тапсырмаларды орындау кезінде дербестік танытпайды;
  • 3 балл – оқу тапсырмаларының 30% - на дейін орындады, қателіктер жіберілді, қателіктерін түзетуге тырысады, сабақта кейде белсенділік танытады, оқу тапсырмаларын орындау кезінде мұғалімнің/ата-ананың/құрдастарының қолдауына мұқтаж;
  • 4 балл - оқу тапсырмаларының 40% - на дейін орындады, қателіктер жіберді, қателерді түзету кезінде көмекке мұқтаж, әрдайым белсенді бола бермейді, кейде тапсырмаларды орындау кезінде дербестік танытады;
  • 5 балл -  50%-ға дейін оқу тапсырмаларын орындады, 5-ке дейін қателіктер жіберді, мұғалімнің көмегіне мұқтаж, сабақта әрдайым белсенді бола бермейді, кейде мүмкін болатын тапсырмаларды орындау кезінде дербестік танытады;
  • 6 балл - оқу тапсырмаларының 60%-на дейін орындады, 4-ке дейін қате жіберді, мұғалімнің көмегіне мұқтаж, сабақта ынталы, орташа күрделі тапсырмаларды өз бетінше орындай алады;
  • 7 балл -  оқу тапсырмаларының 70% - ға дейін орындады, 3-ке дейін қате жіберді, қателіктерді уақтылы жойды, сабақта белсенді, тапсырмаларды орындау кезінде дербестік танытады;
  • 8 балл -  оқу тапсырмаларының 80% - на дейін орындады, 1-2 елеусіз қателіктер жіберді, мұғалімнің пікірлері негізінде өз қателіктерін түзетеді, белсенді, тәуелсіз;
  • 9 балл -  оқу тапсырмаларының 90% - на дейін орындады, тапсырмаларды орындау кезінде шамалы дәлсіздіктерге жол берді, қатемен жұмыс істейді, белсенді, дербес;
  • 10 балл -  оқу тапсырмаларының 100% орындады, қателіктер жібермеді, белсенді, тәуелсіз, түсіндіре алады, жауаптарын негіздейді.

Формативті белгілер оқушының есептік кезеңдегі жалпы үлгеріміне әсер етеді: тоқсан немесе жартыжыл шеңберінде.

Оқушының қорытынды бағасын есептеу формуласы мақалада қолжетімді: Критериалды бағалау журналды толтыру бойынша нұсқаулық.

Формативті бағалауды жүргізу кезіндегі белгілердің түс гаммасы, Әдістемелік-нұсқау хаттағы (2020-2021) ақпаратқа сәйкес бағаланады.

Осыдан:

Баллдар Түстік белгілеу Деңгей
10,9,8 жасыл жоғары
7,6,5,4 қызғылт сары орташа
1,2,3 қызыл төмен

Жиынтық бағалау

Оқушылардың үлгерімін бақылау тоқсанның соңында оқу материалдарының мазмұнын игеру деңгейін анықтау және тіркеп отыру үшін тақырыптық жиынтық бағалау түрінде оқытушылар жүзеге асырады.

Бөлім / өтпелі тақырыбы бойынша алынатын жиынтық бағалаудың нәтижелері бойынша (бұдан әрі - БЖБ) оқушыларға тоқсандағы оқу жетістіктерін бағалау кезінде ескерілетін баллдар қойылады.

БЖБ тоқсанның екінші жартысында бір рет, оның аяқталуынан кемінде екі апта бұрын, тоқсанның бір бөлімін (тақырыпты) өту барысында өткізіледі. Оны екі кезеңде өткізуге рұқсат етіледі.

Жиынтық бағалау бағалары математикалық дөңгелектеу ережесі бойынша есептелінеді және үтірден кейінгі барлық сандар есепке алынады:

  • 43,11 = 43 
  • 43,31 = 43
  • 43,52 = 44
  • 43,81 = 44

Мысал: журналда 64,5-ке тең ТЖБ мен БЖБ математикалық дөңгелектеуде үтірден кейінгі сандар есепке алынғандықтан 65-ке тең болады.

Ескерту: журналда үтірден кейін тек 1 сан ғана көрінеді.

2020-2021 оқу жылының басынан бастап №125 бұйрыққа (Қазақстан Республикасы Білім және ғылым Министрлігінен) енгізілген өзгерістер шеңберінде тоқсандық бағаны есептеу формуласы:

Егер пән бойынша журналда жиынтық бағалау тоқсан сайын жүргізілсе

Мұнда:

  • ЖБ факт. сомасы - оқушыға қойылған жиынтық бағалаудың нақты балы немесе олардың сомасы;  
  • ФБ сомасы - Формативті бағалаудың сомасы. Есептік кезеңнің ішінде оқушыға қойылған формативті балдардың қосындысы;
  • ЖБ макс. сомасы - мұғалім орнатқан жиынтық бағалаудың максималды балы немесе олардың сомасы. Оқушылардың оқу жетістіктерін бағалау жүргізуге негіз болатын белгі;
  • ФБ саны - Формативті бағалаудың саны. Есептік кезеңнің ішінде оқушыға қойылған формативті балдардың жалпы саны;
  • ТЖБ факт. балл - Тоқсан бойынша жиынтық бағалаудың нақты балы: 
  • ТЖБ макс. балл - Тоқсан бойынша жиынтық бағалаудың максималды балы: 

Формативті бағалаудың ең жоғары балы (ФБ) - 10-ға тең.

Егер пән бойынша журналда жиынтық бағалау жартыжыл сайын жүргізілсе

Мұнда:

  • ЖБ факт. сомасы - оқушыға қойылған жиынтық бағалаудың нақты сомасы;  
  • ФБ сомасы - Формативті бағалаудың сомасы. Есептік кезеңнің ішінде оқушыға қойылған формативті балдардың қосындысы;
  • ЖБ макс. сомасы - мұғалім орнатқан жиынтық бағалаудың максималды балы. Оқушылардың оқу жетістіктерін бағалау жүргізуге негіз болатын белгі;
  • ФБ саны - Формативті бағалаудың саны. Есептік кезеңнің ішінде оқушыға қойылған формативті балдардың жалпы саны;

Формативті бағалаудың ең жоғары балы (ФБ) - 10-ға тең.

Жиынтық бағалау балл сандары жинақталып, оқу кезеңінің соңында қорытынды бағаға және оқу жылының соңында жылдық бағаға ауыстырылады. Ол үшін келесідей шкала қолданылады:

Жиынтық бағалау (1 сынып)
Жиынтық бағалау балдарының пайыздық мазмұны Бағалау көрсеткіші Баға
0-20% Қанағаттанарлықсыз «2»
21-50% Қанағаттанарлық «3»
51-80% Жақсы «4»
81-100% Өте жақсы «5»

Маңызды: 2020-2021 оқу жылында бірінші сыныптарда бағалау жүргізілмейді. Мұғаліммен кері байланыс түсініктемелер, орындалған жұмыс қорытындысы бойынша ұсынымдар арқылы жүзеге асырылады.

Жиынтық бағалау (2-11 сынып)
Жиынтық бағалау балдарының пайыздық мазмұны Бағалау көрсеткіші Баға
0-39% Қанағаттанарлықсыз «2»
40-64% Қанағаттанарлық «3»
65-84% Жақсы «4»
85-100% Өте жақсы «5»

Қойылған БЖБ / ТЖБ баллдарын қалай көруге болады?

БЖБ / ТЖБ баллдары «Тоқсандар бойынша» қойындысында қолжетімді:

Ата-ана парақшасы арқылы күнделікке өту үшін:

  • «Балалар» - «Күнделік» қойындысын ашу;
  • «Тоқсандар бойынша» қойындысын таңдау.

Оқушы парақшасы арқылы күнделікке өту үшін:

  • «Мектеп» - «Күнделік» қойындысын ашу;
  • «Тоқсандар бойынша» қойындысын таңдау.

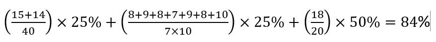
Тоқсандық бағаны есептеу мысалы

Төменде «Математика» пәні бойынша 2-сынып оқушысының 1-тоқсандағы тоқсандық бағасын есептеу мысалы көрсетілген.

2-сынып білім алушысының «Математика» пәні бойынша 1-тоқсан бойынша бөлімдер мен тоқсан бойынша жиынтық бағалау нәтижелері. Пән тоқсан бойынша бағаланады.

Жиынтық бағалау (ЖБ)

Нақты

балл

Максималды

балл

Формативті

баға

1 Бөлім бойынша ЖБ 1 15 20 8, 9, 8, 7, 9, 8, 10
2 Бөлім бойынша ЖБ 2 14 20
3 Тоқсан бойынша ЖБ 18 20

Тоқсандық баға келесі формула бойынша есептелінеді:

Тоқсандық бағаны есептеу

Баллдарды бағаларға ауыстыру шкаласы бойынша білім алушының тоқсандық бағасын анықтаймыз.

Баға Баллдардың пайыздық мазмұны
«2»  0 - 39%
«3»  40% - 64%
«4» 65% - 84%
«5» 85% - 100%

Осы шкалаға сәйкес 85% - «5» бағасына сәйкес келеді. «Математика» пәні бойынша білім алушының 1 тоқсандағы тоқсандық бағасы - «5».

Was this article helpful?
468 out of 563 found this helpful
Have more questions? Submit a request

Comments

0 comments

Please sign in to leave a comment.