Что такое суммативное оценивание и как высчитываются оценки?

В 2020-2021 учебном году оценивание учеников производится по критериальной системе оценивания, которая подразумевает под собой формативное и суммативное оценивание:

  • Формативное оценивание – это вид оценивания, которое проводится в ходе повседневной работы в классе, является текущим показателем успеваемости обучающихся, обеспечивает оперативную взаимосвязь между обучающимся и учителем в ходе обучения. Формативное оценивание проходит в формате 10-балльной системы в течение всей четверти. 
  • Суммативное оценивание - вид оценивания, который представлен вводом баллов по завершении четверти / полугодия (в зависимости от предмета) - СОч, также разделов учебных программ - СОр

Внимание! В Системе итоговая оценка формируется автоматически, но предлагается она как рекомендуемая. В журнале есть столбец, в который учитель выставляет оценки самостоятельно, опираясь на рекомендуемые Системой оценки. Если итоговая оценка НЕ соответствует шкале перевода баллов, то рекомендуется направить вопрос сотрудникам образовательной организации (классному руководителю или администратору) для уточнения.

Формативное оценивание

Формативное оценивание – вид оценивания, которое проводится в ходе повседневной работы в классе, является текущим показателем успеваемости обучающихся, обеспечивает оперативную взаимосвязь между обучающимся и учителем в ходе обучения, обратную связь между учеником и педагогом и позволяет совершенствовать образовательный процесс.

Формативное оценивание было разработано и утверждено МОН РК в рамках правил проведения текущего контроля успеваемости, и внесен в актуальную версию Приказа №125. 

При формативном оценивании педагог самостоятельно определяет количество обучающихся и частоту предоставления обратной связи.

Как посмотреть выставленные формативные отметки?

Формативные отметки доступны в следующих разделах:

  • «Дневник»;
  • «По предметам»;
  • «По четвертям».

Для перехода в дневник через профиль родителя, необходимо:

  • открыть «Дети» - «Дневник»;
  • выбрать вкладку «Дневник» / «По предметам» / «По четвертям».

Для перехода в дневник через профиль ученика, необходимо:

  • открыть «Образование» - «Дневник»;
  • выбрать вкладку «Дневник» / «По предметам» / «По четвертям».

Как рассчитываются формативные отметки?

Учитель фиксирует в журнале прогресс учебных достижений учащихся в виде баллов, согласно следующей дифференциации:

  • 1 балл – выполнил от 0 % до 10 % учебных заданий, допущены ошибки, на уроке пассивный, не делает выводы по итогам обратной связи с учителем, не проявляет самостоятельность при выполнении заданий, не знает пройденный материал;
  • 2 балла – выполнил до 20 % учебных заданий, допущены ошибки, на уроке пассивный, не всегда делает соответствующие выводы по итогам обратной связи с учителем, не проявляет самостоятельность при выполнении заданий;
  • 3 балла – выполнил до 30 % учебных заданий, допущены ошибки, стремится исправить свои ошибки, на уроке иногда проявляет  активность, нуждается в поддержке учителя/родителей/сверстников при выполнений учебных заданий;
  • 4 балла - выполнил до 40 % учебных заданий, допустил ошибки, нуждается в помощи при исправлении ошибок, не всегда проявляет активность, иногда  проявляет самостоятельность при выполнении заданий;
  • 5 баллов -  выполнил до 50 % учебных заданий, допустил до 5-ти ошибок, нуждается в помощи учителя, на уроке не всегда активный, иногда проявляет самостоятельность при выполнении посильных заданий;
  • 6 баллов - выполнил до 60 % учебных заданий, допустил до 4-х ошибок, нуждается в помощи учителя, на уроке проявляет старательность, самостоятельно может выполнить задания средней сложности;
  • 7 баллов -  выполнил до 70 % учебных заданий, допустил до 3-х ошибок, своевременно  устранил ошибки, на уроке активный, проявляет самостоятельность при выполнении заданий;
  • 8 баллов -  выполнил до 80 % учебных заданий, допустил 1-2 незначительных ошибок, на основе комментариев учителя самостоятельно исправляет свои ошибки, активный, самостоятельный;
  • 9 баллов -  выполнил до 90 % учебных заданий, допустил незначительные неточности при выполнении  заданий, работает над ошибками, активный, самостоятельный;
  • 10 баллов -  выполнил 100 % учебных заданий, не допустил ошибок, активный, самостоятельный, может объяснить, обосновать свои ответы.

Формативные отметки влияют на общую успеваемость учащегося в рамках отчетного периода: четверти или полугодия. 

Формула расчета итоговой оценки учащегося доступна в статье: Памятка по заполнению критериального журнала.

Цветовая гамма отметок при ведении Формативного оценивания расценивается в соответствии с информацией в Инструктивно-методическом письме (2020-2021). 

Из этого:

Баллы Цветовое обозначение Уровень
10,9,8 зеленые высокий
7,6,5,4 оранжевые средний
1,2,3 красные низкий

Суммативное оценивание

Текущий контроль успеваемости обучающихся проводится педагогами в форме суммативного оценивания для определения и фиксирования уровня усвоения содержания учебного материала по завершении четверти / полугодия, изучения разделов (сквозных тем).

По результатам суммативного оценивания за раздел/сквозную тему (далее - СОР) обучающимся выставляются баллы, которые учитываются при оценивании учебных достижений за четверть / полугодие.

СОР проводится один раз во второй половине четверти, не менее чем за две недели до ее завершения, при изучении одного раздела (сквозной темы) в четверти. Разрешается его проведение в два этапа.

Баллы в суммативных оценках округляются по математическим правилам и учитываются все знаки после запятой. Например:

  • 43,11 = 43 
  • 43,31 = 43
  • 43,52 = 44
  • 43,81 = 44

С начала 2020-2021 учебного года, в рамках внесенных в Приказ №125 (от Министерства образования и науки Республики Казахстан) изменений, формула расчета четвертной оценки выглядит следующим образом:

Если по предмету суммативное оценивание проводится за четверть

Из этого:

  • Сумма факт. баллов СО - фактический балл или сумма баллов за суммативное оценивание полученных учащимся; 
  • Сумма полученных ФО - сумма всех полученных в течение четверти формативных отметок учащегося; 
  • Сумма макс. баллов СО - максимальный балл или сумма баллов за суммативное оценивание выставленных учителем в журнале; 
  • количество полученных ФО - общее количество полученных в течение четверти формативных отметок учащегося; 
  • Факт. балл СОЧ - фактический балл суммативного оценивания за четверть, полученный учащимся; 
  • Макс. балл СОЧ - максимальный балл суммативного оценивания за четверть, выставленный учителем в журнале; 

Максимальный балл Формативного оценивания (ФО) - равен 10. 

Если по предмету суммативное оценивание проводится за полугодие

Из этого:

  • Сумма факт. баллов СО - фактический балл или сумма баллов за суммативное оценивание полученных учащимся; 
  • Сумма полученных ФО - сумма всех полученных в течение полугодия формативных отметок учащегося; 
  • Сумма макс. баллов СО - максимальный балл или сумма баллов за суммативное оценивание выставленных учителем в журнале; 
  • количество полученных ФО - общее количество полученных в течение полугодия формативных отметок учащегося; 

Максимальный балл Формативного оценивания (ФО) - равен 10. 

Баллы суммативного оценивания накапливаются и переводятся в итоговую оценку в конце учебного периода и в годовую оценку по завершении учебного года. Для этого используется следующие шкалы:

Шкала перевода баллов в оценки для 1-ых классов
Процентное содержание баллов Показатель оценивания Оценка
0-20% Неудовлетворительно «2»
21-50% Удовлетворительно «3»
51-80% Хорошо «4»
81-100% Отлично «5»

Важно: в первых классах в 2021-2022 учебном году оценивание не проводится. Обратная связь педагогом осуществляется через комментарии, рубрики, рекомендации по итогам выполненной работы.

Шкала перевода баллов в оценки для 2-11-тых классов
Процентное содержание баллов Показатель оценивания Оценка
0-39% Неудовлетворительно «2»
40-64% Удовлетворительно «3»
65-84% Хорошо «4»
85-100% Отлично «5»

Как посмотреть выставленные СОР / СОЧ?

Баллы СОР / СОЧ доступны в разделе «По четвертям».

Для перехода в дневник через профиль родителя, необходимо:

  • открыть «Дети» - «Дневник»;
  • выбрать вкладку «По четвертям».

Для перехода в дневник через профиль ученика, необходимо:

  • открыть «Образование» - «Дневник»;
  • выбрать вкладку «По четвертям».

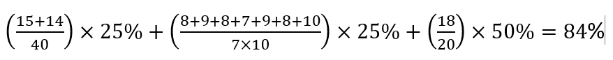
Пример расчета четвертной оценки

Ниже показан пример расчета четвертной оценки обучающегося 2 класса по предмету «Математика» за 1 четверть.

Результаты обучающегося 2 класса по суммативному оцениванию за разделы и четверть по предмету «Математика» за 1 четверть. Предмет оценивается по четвертям. 

Суммативное
оценивание
(СО)

Фактический

балл

Максимальный 

балл

Формативная

отметка

1 СО за раздел 1 15 20 8, 9, 8, 7, 9, 8, 10
2 СО за раздел 2 14 20
3 СО за четверть 18 20

Расчет четвертной оценки производится по следующей формуле:

Расчет четвертной оценки:

По шкале перевода баллов в оценки определяем четвертную оценку обучающегося.

Оценка Процентное содержание
баллов 
«2»  0 - 39%
«3»  40% - 64%
«4» 65% - 84%
«5» 85% - 100%

Согласно данной шкале 85% соответствуют оценке «5». Четвертная оценка обучающегося по предмету «Математика» за 1 четверть – «5».

Была ли эта статья полезной?
Пользователи, считающие этот материал полезным: 467 из 561
Еще есть вопросы? Отправить запрос

Комментарии

Комментариев: 49
  • Если у ребенка

    ФО=10+9

    CO=9

    CОЧ= не проводили

    Mаксимальн.балл=15

    какая оценка должна быть за четверть? У меня есть сомнения в подсчетах

    -1
  • Добрый день, Томирис Сакская!

    При проверке информации, мы обнаружили что вы уже писали на почту Службы Поддержки 26.12.2021 по этому вопросу с положительным исходом. Если у вас возникнут дополнительные вопросы, просим писать ответным письмом используя почту Службы Поддержки.

    1
  • Добрый день. Подскажите, пожалуйста, правильно ли я понимаю, что учитель самостоятельно выставляет оценку за четверть? То есть это не происходит автоматически, а учитель может поменять оценку, которую ему выдает как предварительную Кунделик?

    -1
  • Может ли учитель менять формативные оценки в течение четверти?

    -1
  • Может ли учитель менять оценки за СОР/СОЧ, которые были выставлены в Кунделик?

    1
  • Добрый день, Татьяна!

    Добрый день. Подскажите, пожалуйста, правильно ли я понимаю, что учитель самостоятельно выставляет оценку за четверть? То есть это не происходит автоматически, а учитель может поменять оценку, которую ему выдает как предварительную Кунделик?

    Система высчитывает итоговую оценку по формуле и выставляет ее в столбец «Реком. оценка». Учитель в блок «Выстав. оценка» выставляет результаты учащегося из блока «Реком. оценка», где оценки высчитана на основании формулы, утвержденной МОН РК.

    На основании Приказа Министра образования и науки РК от 14.06.2018 № 272:

    "Сноска. Пункт 29 в редакции приказа Министра образования и науки РК от 14.06.2018 № 272 (вводится в действие по истечении десяти календарных дней после дня его первого официального опубликования).
    30. Пересмотр четвертных, годовых и итоговых оценок не допускается."

    Может ли учитель менять формативные оценки в течение четверти? 
    Может ли учитель менять оценки за СОР/СОЧ, которые были выставлены в Кунделик?

    С технической точки зрения в системе имеется такая возможность, однако Администратор школы может включить Ограничения по выставлению ФО.

    Педагоги по предмету и классные руководители могут выставлять и редактировать отметки только в установленный период редактирования. По истечении периода, указанного в настройках, происходит блокировка ячеек всех страниц (т.е. ячейки для выставления отметок меняют заливку на серую и становятся неактивными), где существует возможность выставить / отредактировать / удалить оценку учащегося.

    Информацию о том, когда именно учитель выставил ФО на уроке можно узнать в Отчёте «История изменений: Журнал». Показатель не учитывает выставление итоговых: СОР / СОЧ / ЗЧ, эти виды оценок могут быть выставлены в любое время.

    1
  • Сколько будет 9 баллов из 12 какая оценка?

    0
  • Здравствуйте. Если прибывают дети во 2 например четверти, то расчет за полугодие например производится учителем вручную? По бумажным справкам и формуле?

    0
  • Добрый день, O_b_i_t_o_7!

    К сожалению, мы не можем в точности сказать какая у Вас выйдет итоговая оценка. Потому что, на итоговую оценку помимо суммативных оценок влияют и формативные, полученные за повседневную работу.

    Просим написать нам на почту team@kundelik.kz для получения полного расчёта, указав свои данные(ФИО, логин, название предмета).

     

      
    0
  • Добрый день, Дина Ахметова!

    Да, в таких случаях учителю нужно выставить оценку за полугодие высчитав ее вручную по формуле. 

    0
  • Здравствуйте. По предмету Естествознание ставится полугодовая оценка. Каким образом идет расчет? Если за первый СОР 14\20, второй 7\20. ФО не было.

    0
  • Добрый день, Рябова Екатерина!

    На Ваш электронный адрес направлено письмо. Дальнейшая обработка Ваших запросов будет проводиться отдельной перепиской, так как содержит личные данные.

    0
  • Как вычислять процент за сор мне говорили что то на что то нужно делить...

    0
  • Добрый день, Ксюша Сухаревская!

    Для получения полной информации просим перейти по ссылке. 

    0
  • Здравствуйте! Вопрос. Какая будет четвертная оценка при наличии таких данных. формативные 99899910 сор 9/11 и 13/13. Оценка выставлена за полугодие. Не понимаю логики если 9 - это как 5 . То почему при наличии шести пятёрок и всего одной 4 . За четверть выставляют 4!!!!

    0
  • И ещё почему если стоят оценки 9 или 10 и ставится 8 баллов она не суммируется к сумме баллов, а наоборот всегда минусует. При том очень сильно влияет на оценки. 8 баллов это оценка 4! Почему она светится зелёным? И почему портит проценты. Уже точные наблюдение что если ребенок троешник то для него 8 это хорошо. У них она плюсует результат. Если ребенок отличник 8 всё портит и минусует итог. Хотя считается высоким баллом . Например показывается 85.6 процентов ставят 8 баллов и сразу становится меньше. Как так происходит?!

    0
  • Добрый день, Светлана Разбаева!

    На Ваш электронный адрес направлено письмо. Дальнейшая обработка Ваших запросов будет проводиться отдельной перепиской, так как содержит личные данные.

    0
  • Здравствуйте. 8 баллов в ФО это 4ка или 5ка?

    0
  • Добрый день, я я!

    «Формативное оценивание» - это совершенно другой вид оценивания, отличающийся от классического. По этой причине сравнивать эти две системы оценивания нельзя. Можно лишь поделить их на три уровня - Высокий, средний и низкий, где:

    10,9,8 - зеленые - высокий уровень;
    7,6,5,4 - оранжевые - средний;
    1,2,3 - красные - низкий.

    Что же касается 8 баллов, то это работа, выполненная на 80 %, т.е. ученик допустил 1-2 незначительные ошибки, на основе комментариев учителя самостоятельно может исправить свои ошибки, активный, самостоятельный.

    -1
  • 10,9,8 - зеленые - высокий уровень;
    7,6,5,4 - оранжевые - средний;
    1,2,3 - красные - низкий.

     

    Здравствуйте, если 4 балла показывает на средний уровень, то почему он окрашен в красный цвет, до сих пор он нами считался как низкий уровень?

    0
  • Добрый день, Томирис Сакская!

    На Ваш электронный адрес направлено письмо. Дальнейшая обработка Вашего запроса будет проводиться в ходе отдельной переписки.

    0
  • Здравствуйте, а что если ребенок получил 87% и получил оценку 3?

    0
  • Добрый день, Амина!

    На Ваш электронный адрес направлено письмо. Дальнейшая обработка Вашего запроса будет проводиться в ходе отдельной переписки.

    0
  • Добрый день, подскажите пож-та если по предмету в первой четверти была 4, во второй 5, третьей 5, а в четвертой 4, какая оценка за год будет?. Спасибо.

    0
  • Добрый день, Наталья!

    На Ваш электронный адрес направлено письмо. Дальнейшая обработка Вашего запроса будет проводиться в ходе отдельной переписки.

    0
  • Здравствуйте если у первой половины года будет оценка 5 84,7% а в второй половины 4 84% то сколько будет годовая оценка ?

    0
  • Добрый день, Kageyama Tobio!

    Для подсчета годовой оценки система использует среднеарифметическое значение. А это значит, что оценка за первое полугодие плюсуется к оценке второго полугодия, а потом получившаяся сумма делится на 2 (два полугодия).

    Таким образом, в Вашем случае это:

    5 + 4 = 9 / 2 = 4,5 = 5

    Оценка округляется до целого в пользу ученика.

    Обратите внимание, что оценка предлагается в системе как "Рекомендуемая", но выставляет оценку вручную. Поэтому мы не можем отвечать за те данные, которые вносятся учителем вручную.

    -1
  • Это значит если 4+5/2=4,5=5
    То у меня годовая оценка будет 5 или 4 ?

    0
  • Добрый день, Kageyama Tobio!

    Рекомендуем ознакомится с предыдущем ответом, который Вам был предоставлен ранее. В компетенции службы поддержки входит консультация пользователей по техническим вопросам, по вопросам функционирования Системы и помощь через интерфейс Системы. Служба поддержки не отвечает за выдачу домашних заданий и выставление оценок. 

    Рекомендуем переадресовать Ваш вопрос напрямую учителю-предметнику.

    0
  • Добрый день. По СОР 6/13 и процент 28,8%, какую оценку это означает?

    -1

Войдите в службу, чтобы оставить комментарий.